Tải APP
Trang chủ
Cộng đồng
Thị trường
Về FireAnt
Tìm kiếm...
Đăng nhập
Mở
nguyentruongbds19
Theo dõi
Nhắn tin
Chặn
15
bài viết
0
đang theo
1
người theo
0
hội nhóm
nguyentruongbds19
22:13
9/9 này giao dịch bổ sung 5,6tr cổ các bác thao hồ mua giá tốt rồi
VGS
1 bình luận
Thích
Bình luận
Chia sẻ
nguyentruongbds19
09:31
Bác nào có lãi vào mà chốt lãi đi không lại tiếc
CTR
1 bình luận
Thích
Bình luận
Chia sẻ
nguyentruongbds19
14:17
Các bác chốt lãi ghê thế
CTR
8 bình luận
Thích
Bình luận
Chia sẻ
nguyentruongbds19
13:10
Nay khả năng ce rồi
VOS
1 thích
3 bình luận
Thích
Bình luận
Chia sẻ
nguyentruongbds19
09:25
Khả năng con này chuẩn bị ra tin cổ tức rồi.
VOS
1 thích
2 bình luận
Thích
Bình luận
Chia sẻ
nguyentruongbds19
06:25
fireant.vn/.../33302001
CMG
2 thích
1 bình luận
Thích
Bình luận
Chia sẻ
nguyentruongbds19
21:16
Ra tin rồi các bác à
DCM
5 thích
2 bình luận
Thích
Bình luận
Chia sẻ
nguyentruongbds19
21:13
https://fireant.page.link/pQBhjkGYGwvy91c7A
Giá ure tại Trung Quốc bật tăng trở lại
Theo Sunsirs, giá ure tại Trung Quốc ngày 6/6 là 2.395 nhân dân tệ/tấn (336 USD/tấn), tăng 1% so với
DCM
Thích
Bình luận
Chia sẻ
nguyentruongbds19
09:59
Em vừa vào 8k k biết có ăn dc tý gì k các bác à
TDC
9 bình luận
Thích
Bình luận
Chia sẻ
nguyentruongbds19
09:23
Quả rũ hàng nhỏ lẻ quá hay các bác à
ABS
2 thích
2 bình luận
Thích
Bình luận
Chia sẻ
nguyentruongbds19
13:17
Vào đu đi các bác.
ABS
Thích
Bình luận
Chia sẻ
nguyentruongbds19
21:10
Thế mai lại phải đua lệnh à các bác
NBB
1 thích
7 bình luận
Thích
Bình luận
Chia sẻ
nguyentruongbds19
19:50
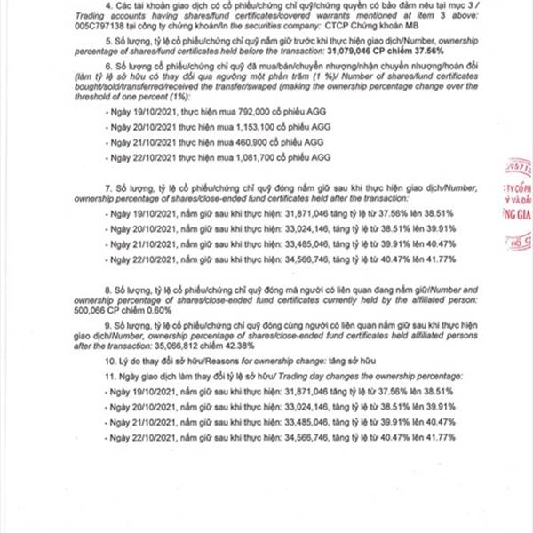
Anh Sang đã gom xong dự bay cao rồi các bác à
AGG
6 thích
5 bình luận
Thích
Bình luận
Chia sẻ
nguyentruongbds19
09:19
Cảm ơn các bác đã bán e vừa mua dc 1 mớ giá ngon rồi😁
DL1
3 thích
Thích
Bình luận
Chia sẻ
nguyentruongbds19
10:42
Gửi các cổ đông của DL1
DL1
5 thích
1 bình luận
Thích
Bình luận
Chia sẻ